一、引言
1999年我國高等教育擴招政策開啟了高等教育大眾化進程,高等院校數量和在校生數迅速增加。2019年我國高等教育毛入學率達到51.6%,標志著我國高等教育從大眾化正式進入普及化階段。在我國高等教育大眾化、普及化進程中,地方高校成為高教擴招任務的主要承擔者,培養了大批經濟社會發展所需要的高素質人才,為我國現代化建設做出了重要貢獻。
在我國普通本科高校中,地方普通本科高校占主體地位。2019年,我國地方普通本科高校無論是學校數還是在校生數,都占全國普通本科高校的90%及以上。在地方普通本科高校數量不斷增長以及招生規模不斷擴大的同時,其辦學水平也在不斷提升。有越來越多的地方普通本科高校躋身“211工程”和“雙一流”建設等國家重大教育工程中。在116所“211工程”高校中,有28所是地方高校,占總數的24%。2017年9月教育部、財政部、國家發展改革委公布的137所“雙一流”建設高校及建設學科名單中,共有47所地方高校入選,占總數的34%,充分顯示了地方高校強勁的發展勢頭。同時,共有67所地方高校入選部省共建“雙一流”建設高校,14所地方高校成為“部省合建”髙校,地方髙校在我國高等教育戰略布局中的地位越來越重要。
1999年高等教育擴招后,我國高等教育經費投入總量持續增長,為高等教育事業實現跨越式發展提供了有力保障。但是,受地方公共財政能力有限以及學費上漲的制約,地方高校在經費投入方面還存在一些突出問題:地方高校總體投入水平仍然偏低,區域間差異較大;一些地方高校生均撥款水平較低,基本辦學條件仍然有待改善,等等。1999年至2005年,地方高校的生均一般公共預算教育經費支出在不斷減少。1999年,地方高校的生均預算內教育經費支出是中央高校的57.70%,至 2005年該值已不足中央高校的一半,僅為43.70%,在此期間,中央高校和地方高校之間的差異逐漸拉大。
為進一步加大地方高等教育財政投入,使地方高校更好地承擔起實施科教興國戰略和人才強國戰略、建設創新型國家的歷史使命,在高等教育以大規模擴招為特征的外延式發展轉入以提高質量為特征的內涵式發展階段后,中央政府逐步進行政策調整,在增加中央政府對地方高校(地方所屬公辦普通本科高校)支持的同時,提高地方政府投入高等教育的積極性。2010年財政部、教育部出臺《關于印發<中央財政支持地方高校發展專項資金管理辦法>的通知》(財教〔2010〕21號),在原“中央與地方共建高等學校專項資金”的基礎上,設立支持地方高校發展專項資金,支持地方高校的重點發展和特色辦學。2010年11月30日,財政部、教育部發布《關于進一步提高地方普通本科高校生均撥款水平的意見》(財教〔2010〕567號),要求各地要根據高校合理需要,制訂本地區地方高校生均撥款基本標準。在此基礎上,結合財力情況、物價變動水平、高校在校生人數變化、工資標準調整等因素,建立地方高校生均撥款動態調整機制,逐步提高生均撥款水平。原則上,2012年各地地方高校生均撥款水平不低于12000元。2010年提高地方普通本科高校生均撥款水平的政策有效地確保了各省份及省級以下政府對地方高等教育的財政投入。此后,中央高校和地方高校之間差距開始逐步縮小。2010年,地方普通高校生均預算內教育經費支出占中央普通高校生均預算內教育經費支出的比例從42.68%增至46.94%,2012年升至60.53%,此后雖有下降,但一直維持在55%左右,2019年開始上升,2020 年達到 66.57%。
近年來,中央通過轉移支付,不斷加大對地方高校的支持力度,支持地方高校高質量發展。2016年,財政部、教育部印發《支持地方高校改革發展資金管理辦法》(財教〔2016〕72號),在支持地方高校發展資金、地方高校生均撥款獎補資金的基礎上,整合設立“支持地方高校改革發展資金”,更好地推動各地改革完善地方高校預算撥款制度,推動地方高校深化改革和內涵式發展,支持地方推進“雙一流”建設等。同時,在資金使用上賦予地方較大的自主權,要求突出支持重點,強化政策導向,財政投入向擁有高水平學科的高校傾斜,向辦學質量高、辦學特色鮮明的高校傾斜。2021年12月31日,財政部、教育部發布《關于印發<支持地方高校改革發展資金管理辦法>的通知》(財教〔2021〕315號),對《支持地方高校改革發展資金管理辦法》進行了修訂,重點支持增加了“支持中西部地區高等教育發展”方面的內容。
以上政策的實施,切實提高了地方高校的財政投入水平。在新的歷史時期,部分發達地區的地方政府逐步增加對地方普通高等教育的財政投入,關注區域性高等教育體系的建立,增加優質高等教育資源的供給。地方政府加大投入的背后,既有初期階段中央“共建”策略以及要求建立地方高校撥款機制的推動作用,更重要的是,隨著地方政府財力的增加及地方產業升級的需求,高等教育的發展對地方經濟的促進作用逐漸凸顯。
提高地方高校的辦學質量和水平是促進區域經濟社會發展的重要戰略基礎,在國家高等教育強國建設戰略中,地方高校是重要的參與主體。有研究指出,我國中央政府通過行政分化、“世界一流”大學建設以及傾斜性的財政專項政策,使高校在行政、財政、功能等方面逐步實現分層。高校間財政分化既體現在精英高校與普通高校之間的財政分化,也體現在精英高校內部的分化 。受區域經濟發展差異、不同省份高等教育體量差異以及地方政府發展高等教育不同策略的影響,地方高校之間同樣也存在財政分化,表現在各省份之間以及省份內部高校之間的差異。探究各省份地方普通本科高校經費投入的差異對于了解我國各省份地方普通本科高校經費投入現狀,進而促進地方普通高等教育事業協調發展具有重要意義。本研究將聚焦地方普通本科高校,從各省份之間、省內高校間、省內省屬高校和市屬高校間三個維度,分析地方普通本科高校教育經費投入的差異情況,從而嘗試刻畫當前我國地方普通本科高校教育經費投入狀況。
除引言外,本報告主要包括以下內容:第二部分,研究數據和研究方法。第三部分,描述近十四年全國普通本科教育事業發展和經費投入情況。第四部分,分析各省份地方普通本科高校(含民辦)教育事業發展和教育投入現狀。第五部分,分析地方普通本科高校(教育和其他部門)財政投入的各省份差異、省內高校間差異及省內省屬高校和市屬高校間差異的情況。第六部分,簡要總結本研究的發現。最后,概述本研究的不足和下一步研究計劃。
二、研究數據和方法
(一)研究數據
本報告使用的數據主要來自:(1)2007—2020年《中國教育統計年鑒》;(2)2018—2020年《中國教育經費統計年鑒》;(3)“2019年中國教育經費統計數據庫”。(注:本報告數據來源如未另外給出,均來自“2019年中國教育經費統計數據庫”)本報告分析使用全國31個省份的地方普通本科高校數據,其中地方公辦普通本科高校703所。(注:本報告中地方公辦普通本科高校指“教育部門和其他部門辦地方普通本科高校”,不含企業辦高校。)
此外,本文按照我國2019年轉移支付經費享受政策,將31個省份分為四個區域來進行相關的分析,包括:東部、中部、東北、西部。其中,東部(8個省份)包括北京、天津、上海、江蘇、浙江、福建、山東、廣東;中部(8個省份)包括河北、山西、安徽、江西、河南、湖北、湖南、海南;東北(3個省份)包括遼寧、吉林、黑龍江;西部(12個省份)包括寧夏、新疆、青海、陜西、甘肅、內蒙古、四川、云南、貴州、西藏、重慶、廣西。
(二)研究方法
本文主要使用描述統計和統計指標測度兩類方法。統計指標包括變異系數(Coefficient of Variation,簡稱CV)和不同分位數之比(P90/P10、P50/P10、P90/P50)。其中:
(1)變異系數是指一組數據的標準差與其均值之比。變異系數值越大,代表組間離散程度越高,不均衡水平就越高;反之,變異系數值越小,代表組間離散程度越低,不均衡水平就越低。本文使用變異系數來考察和比較各省份地方普通本科高校生均支出水平的差異。需要指出的是,高校之間由于功能和質量的不同而產生的經費投入水平和經費來源結構的差異,是一個全球普遍的現象。高校之間在經費投入水平和經費來源結構方面存在一定程度的差異是合理的。
(2)變異系數雖然能夠比較兩組數據離散程度的相對差異,但其不足之處在于無法呈現單個變異系數值所代表的絕對差異和一組數據的不同百分位之間的差異。因此,本文采用省內高校的P90/P10、P50/P10、P90/P50作為補充指標。該指標是由地方普通本科高校各項分析指標的不同分位數之比計算而來,用于反映各省份地方普通本科高校中不同層次高校之間的差異性。其中,P90表示生均支出水平從低到高排名第90百分位的高校,即頭部高校;P50表示生均支出水平從低到高排名第50百分位的高校,即中部高校;P10表示生均支出水平從低到高排名第10百分位的高校,即下部高校。因此,P90/P10是90分位數比10分位數,即地方普通本科高校評價指標的頭部高校與下部高校的差異;P50/P10是指50分位數比10分位數,即地方普通本科高校評價指標的中部高校與下部高校的差異;P90/P50是指90分位數比50分位數,即地方普通本科高校評價指標的頭部高校與中部高校的差異。
本文使用的具體指標包括:(1)教育經費總收入(收入指標);(2)國家財政性教育經費(收入指標);(3)生均教育經費支出/生均教育事業性經費支出(生均支出指標);(4)生均一般公共預算教育事業費支出(生均支出指標)。本文將使用國家財政性教育經費占比、生均支出水平(生均教育經費支出、生均一般公共預算教育事業費支出)來考察各省份的經費投入水平;使用生均支出(生均教育事業性經費支出、生均一般公共預算教育事業費支出)變異系數和分位數之比來看各省份內部高校之間經費投入的差異。
三、全國普通本科教育事業發展和經費投入變化趨勢
本部分分析全國普通本科高校(分中央高校和地方高校,地方高校包括民辦高校)的事業發展和經費投入情況。首先根據毛入學率、學校數和在校生數描述2007—2020年 全國普通本科高校的事業發展狀況。(注:由于教育經費統計年鑒中,1999—2004年,全國各級各類學校教育經費收入中,普通高等學校沒有區分本科學校和高職高專學校,只區分中央和地方普通高等學校;2005—2006年,全國各級各類學校教育經費收入中,普通高等學校區分本科學校和高職高專學校,但沒有區分中央和地方。故本節分析所涉年份從2007年開始。)其次,分全國普通本科高校和地方普通本科高校,從教育經費收入和國家財政性教育經費收入角度描述2007—2019年普通本科高校的經費投入變化情況,并分析普通本科高校的教育經費收入、國家財政性教育經費收入在全國各級各類教育機構相應經費收入中的占比變化情況,以及普通本科高校的國家財政性經費收入占普通本科高校教育經費總收入的比例變化情況。
(一)全國普通本科教育事業發展變化趨勢
圖1呈現了2007—2020年我國高等教育毛入學率和普通本科高校的在校生數據。2007—2020年,高等教育毛入學率 逐年提高,2019年實現了高等教育普及化(51.6%),2020年繼續提高到54.4%。(注:高等教育毛入學率統計中的高等教育在學總規模不僅包括普通高等教育本專科在校生數、研究生在校生數,還包括成人本專科折合在校生數、成人夜大在校生數等。)我國普通本科在校生規模逐年增長,從1024萬人增加到1826萬人。

從學校數來看(表1),2007—2020年,中央高校增加了8所,地方高校增加了522所(占比從86%增加到91%);地方高校中,民辦高校增加了413所(在全國高校中占比從4%增加到35%)。從在校生數來看(表3),中央高校增加了25萬人,地方高校增加了776萬人(占比從84%增加到90%);地方高校中,民辦高校增加了282萬人(在全國高校學生數中占比從18%增加到26%)。總之,在全國普通本科高校中,無論是學校數還是在校生數,地方普通本科高校都占90%及以上,在規模上占據主體地位。


(二)全國和地方普通本科教育經費投入變化趨勢
圖2和圖3顯示的是2007—2019年全國和地方普通本科高校(含民辦)教育經費收入及其占全國各級各類教育機構教育經費總收入比例的情況。2007—2019年,全國普通本科高校教育經費收入從3003億元增長到8027億元,地方普通本科高校教育經費收入從1884億元增長到5186億元(數據經過消費者物價指數平減)。從2007—2019年我國普通本科高校教育經費收入占全國各級各類教育機構教育經費總收入的比例來看,總體來看,全國普通本科高校的經費收入占比在21%~25%之間波動,地方普通本科高校的經費收入占比在13%~16%之間波動。


圖4和圖5顯示的是2007—2019年全國和地方普通本科高校國家財政性教育經費收入及其占全國各級各類教育機構國家財政性教育經費總收入比例的情況。2007—2019年,全國普通本科高校國家財政性教育經費收入從1366億元增長到5037億元,地方普通本科高校國家財政性教育經費收入從773億元增長到3108億元(數據經過消費者物價指數平減)。從各級各類教育機構國家財政性教育經費總計中普通本科高校的占比來看,全國普通本科高校的占比在15%~18%之間波動,2011年最高,為18.0%;地方普通本科高校的占比在8%~11%之間波動, 2012年最高,為10.9%。


圖6和圖7顯示的是2007—2019年全國和地方普通本科高校教育經費總收入中國家財政性教育經費占比的變化情況(含民辦高校)。從占比的變化趨勢來看,無論是全國高校還是地方高校,2007年到2012年都呈明顯的上升趨勢,2012年達到頂點之后,波動幅度不大。具體來看,全國普通本科高校的財政性教育經費占比,從2007年的45.5%上升到2012年的63.1%,之后穩定在61%~62%左右。地方普通本科高校的財政性教育經費占比,從2007年的41.0%上升到2012年的60.4%,之后一直穩定在58%~60%。可見,與2007年相比,全國普通本科高校尤其是地方普通本科高校財政性教育經費占比有了很大增長。


四、各省份地方普通本科高校辦學格局和經費投入現狀
本部分分析各省份地方普通本科高校的辦學格局和經費投入情況。首先,通過2019年各省份普通本科高校的在校生規模(分中央和地方、地方分公民辦)來考察各省份普通本科高校的辦學格局。其次,通過生均教育經費支出、生均一般公共預算教育事業費支出來分析2019年各省份地方公辦普通本科高校的財政投入水平。再次,通過國家財政性教育經費占比來考察各省份地方普通本科高校的多元化籌資格局。最后,從各省份地方公辦普通本科高校的生均教育經費支出和國家財政性教育經費占比兩個維度,以及從各省份地方普通本科高校民辦在校生數占比和國家財政性教育經費占比兩個維度,來刻畫各省份地方普通本科高校教育事業發展和財政投入情況的四象限圖,以考察各省份地方普通本科教育財政投入與事業發展相適應的情況。
(一)各省份普通本科高校的多元化辦學主體格局
1. 央地格局
首先,我們來看下各省份普通本科高校中中央屬和地方屬高校(含民辦)的結構差異。圖8是2019年各省份普通本科高校在校生數及地方高校學生數占比情況(按各省份地方普通本科高校在校生數排序)。(注:本部分在校生數為折合學生數(財)。折合學生數(財)=((年初折合學生數-年初折合函授夜大生)*8+(年末折合學生數-年末折合函授夜大生)*4) )/12。圖9同。)從總體在校生規模上來看,江蘇、山東、廣東、河南、北京、四川、湖北、陜西、河北、遼寧等省普通本科高校在校生規模較大,都超過了100萬人。從地方高校在校生數在各省份總在校生數中占比來看,除了云南、山西、青海、內蒙古、江西、海南、貴州、廣西、西藏9個省沒有央屬高校,其他省份中,占比最高的是河南(99.7%)、其次是河北(95%),然后是山東、浙江、安徽、廣東(85%~89%);占比最低的是北京(22%),其次是上海(54%)、湖北(65%)、陜西(72%)、江蘇(73%)。

2. 公民辦格局
再來看各省份地方普通本科高校在校生數的公民辦格局。圖9是2019年各省份地方普通本科高校在校生數及民辦校學生數占比情況。可以看出,河南、山東、廣東、江蘇四省地方普通本科高校在校生規模較大,都超過了100萬人,四川、河北兩省也接近100萬人。各省份地方普通本科高校在校生數中民辦校在校生數占比差異較大。最高的是寧夏(50%),其次是湖北(41%)、廣東(40%),浙江(37%)、福建(34%)、海南(33%)、江蘇(32%)、重慶(32%)、江西(31%)、河北(31%)等省份也較高;占比較低的省份以西部的省份為主,包括甘肅(17%)、青海(10%)、新疆(9%)、內蒙古(7%)等。

(二)各省份地方公辦普通本科高校的財政投入水平
本部分通過生均教育經費支出、生均一般公共預算教育事業費支出來呈現各省份地方公辦普通本科高校財政投入水平的差異。
1.生均教育經費支出
圖10顯示的是2019年各省份地方公辦普通本科高校生均教育經費支出。東部的北京、上海、廣東、浙江等地,以及西部的青海、西藏等,生均教育經費支出較高。東北地區、西部的四川、云南等地,生均教育經費支出較低。

2.生均一般公共預算教育事業費支出
圖11顯示的是2019年各省份地方公辦普通本科高校生均一般公共預算教育事業費支出。東部的北京、上海、廣東等地,以及西部的青海、西藏等,生均一般公共預算教育事業費支出較高。東北地區、中部的安徽、河南、湖南、山西,以及西部的廣西、云南、重慶等地,生均一般公共預算教育事業費支出較低。

整體來看,不論是生均教育經費支出,還是生均一般公共預算教育事業費支出,較高的省份都是北京、上海、廣東、浙江等地。不同的是,生均教育經費支出最低的是吉林和黑龍江,其次是四川和云南;而生均一般公共預算教育事業費支出最低的是廣西,其次是遼寧。
分地區來看,生均教育經費支出和生均一般公共預算教育事業費支出基本都呈現出U型曲線。部分東部省份和西部省份生均教育經費支出水平較高;東北部三省普遍低于全國平均水平;中部地區省份大多也低于全國平均水平。
2019年生均教育經費支出的最高值是最低值的4倍,生均一般公共預算教育事業費支出的最高值是最低值的4.22倍。可以看出,不論是生均教育經費支出還是生均一般公共預算教育事業費支出,我國各省份地方公辦普通本科高校之間的差異都非常大。
(三)各省份地方普通本科高校的多元化籌資格局
1. 國家財政性教育經費占比——地方普通本科高校(公民辦)
2019年,地方普通本科高校(公民辦)教育經費收入中國家財政性教育經費占比的全國平均水平約為60%,各省份存在一定的差異(見圖12)。占比高于70%的省份以西部為主,包括內蒙古(74%)、青海(78%)等,東部的上海(71%)、北京(77%)占比也較高;占比低于55%的省份主要是中西部省份,包括中部的湖北(55%)、湖南(51%),西部的四川(55%)、陜西(51%)、重慶(50%),此外,東部的浙江(56%)、福建(55%)、江蘇(55%)占比也較低。

2. 國家財政性教育經費占比——地方公辦普通本科高校
2019年,地方公辦普通本科高校國家財政性教育經費占教育經費總收入比例的全國平均水平約為69%,大部分省份處于60%~80%之間(見圖13)。北京的這一比例相對較高,超過了80%;其次是上海,接近80%。而重慶、湖南的這一比例相對較低,低于60%;其次是江蘇、浙江等,低于65%。
圖13與圖12相比,大部分省份與全國平均水平相比所在的位置變化不大。變化明顯的省份,比如湖北,僅看地方公辦普通本科高校,國家財政性教育經費占比相對比較高;比如貴州,僅看地方公辦普通本科高校,國家財政性教育經費占比低于全國均值。

3.國家財政性教育經費占比——地方民辦普通本科高校
2019年地方民辦普通本科高校教育經費收入中國家財政性教育經費占比的全國平均水平約為10%,各省份也存在一定差異(圖14)。占比最高的省份為東部的浙江(27%),其次是西部的寧夏(22%)、新疆(19%)、重慶(16%),東部的河北(15%)、北京(13%)、廣東(11%)。占比低于5%的包括天津(2%)和福建(3%),中部的安徽(3%)、湖南(4%)、山西(4%),東北部的遼寧(4%)、黑龍江(5%)。

(四)小結
1. 各省份地方公辦普通本科高校財政投入情況
從生均教育經費支出和國家財政性教育經費占比(注:為保持四象限圖的橫縱坐標的口徑一致,此處“國家財政性教育經費占比”采用數據庫數據。)兩方面來看(見圖15),各省份地方公辦普通本科高校的投入情況可以分為以下幾種情況:
(1)生均教育經費支出和財政投入占比都較高的地區,包括北京、上海、廣東、青海等。這類地區或者是經濟發達地區,或者是得到大量財政轉移支付的西部地區(經費投入高、而在校生規模小),因此財政投入水平較高,且生均教育經費支出水平也較高。
(2)生均教育經費支出低、財政投入占比也低的地區,包括湖南、山東、遼寧等。這類地區財政投入壓力較大,而且由于在校生規模較大,因此生均教育經費支出水平較低。
(3)生均教育經費支出高、而財政投入占比低的地區,包括浙江、江蘇、福建等。這幾個省經濟相對發達,財政投入和非財政性投入都比較高,因此生均教育經費支出水平較高。而由于非財政性投入高從而使得財政性教育經費占比顯得相對較低。總的來看,教育經費投入壓力相對較小。
(4)生均教育經費支出低、而財政投入占比高的地區,包括黑龍江、山西、甘肅等。這類地區雖然政府財力有限但財政投入的努力程度較高,因此財政性教育經費占比較高;在校生規模不大但財政投入總量有限,因此生均教育經費支出較低。總的來看,這類地區財政投入壓力較大。
從生均一般公共預算教育事業費支出和財政性教育經費占比兩方面來看,呈現出與生均教育經費支出基本類似的特征,僅個別省份出現了變動。比如,以生均教育經費支出、生均一般公共預算教育事業費支出的中位數為基準,湖北從臨近分界線上升到第(1)類,略高于中位數水平;陜西從臨近分界線下降到第(2)類,略低于中位數水平。


2. 各省份地方普通本科高校辦學和投入情況
從地方普通本科高校(公民辦)、地方民辦普通本科高校的國家財政性教育經費占比,以及民辦高校在校生數占比來看(見圖16),各省份地方普通本科高校教育事業發展和教育投入情況呈現出幾種不同的類型:
(1)國家財政性教育經費占比高、民辦校在校生數占比低,以北京、上海等發達地區和青海、新疆等西部地區為主,這類地區公辦高校占主導地位,且公辦高校對財政性教育經費的依賴程度高。
(2)國家財政性教育經費占比高、民辦校在校生數占比高,典型代表廣東、海南,這類地區呈現出多元主體辦學的局面,公辦高校對財政性教育經費的依賴程度較高。同時,各省份民辦高校對財政性教育經費的依賴程度也存在差異。廣東的民辦高校財政性教育經費占比也相對較高,而海南則較低。
(3)國家財政性教育經費占比低、民辦校在校生數占比高,如浙江、福建、湖北、陜西。這類地區也呈現出多元主體辦學的局面,高校對財政性教育經費的依賴程度相對低一些。政府的財政投入壓力對于不同省份來說存在較大差異,湖北和陜西的財政投入壓力相對大一些。此外,各省份民辦高校對財政性教育經費的依賴程度存在差異。浙江的民辦高校國家財政性教育經費占比為全國最高,福建則較低。陜西民辦高校國家財政性教育經費占比相對較高,而湖北則較低。
(4)國家財政性教育經費占比低、民辦校在校生數占比低,典型代表湖南、安徽。這類地區以公辦高校為主導,且公辦高校比較依賴非財政性經費,政府的財政投入壓力較大。


五、各省份地方公辦普通本科高校之間的投入差異
為了更好地考察各省份對地方普通本科高校的投入情況,本節的分析對象為各省份地方公辦普通本科高校,不含企業辦、民辦(注:由于數據清理過程中,部分樣本存在數據無法拆分、歸集到單個高校的情況而被刪除,因此本部分的數據分析結果與現實情況可能存在一定的差異)。各省份地方公辦普通本科高校之間投入的差異情況通過省內高校間差異,以及省內省屬高校和市屬高校間差異這兩個維度來分析。
(一)省內高校間差異
省內高校間差異的分析包括:(1)通過生均支出(生均教育事業性經費支出、生均一般公共預算教育事業費支出)變異系數來看各省份省內高校之間投入的整體差異;(2)通過生均支出水平 & 生均支出變異系數綜合來看各省份省內高校之間投入差異的水平高低(是低生均支出水平還是高生均支出水平的差異);(3)通過生均支出不同分位數比值(P50/P10、P90/P50)來看各省份高校間投入的具體差異體現在哪個層次的高校(頭部高校、中部高校、下部高校)之間。(注:本部分生均支出涉及的折合學生數的計算方式為:年初/年末折合學生數=博士生*3+碩士生*2+本專科生+函授夜大生/3+來華留學生*2.5;折合學生數(總)=(年初折合學生數*8+年末折合學生數*4)/12;折合學生數(財)=((年初折合學生數-年初函授夜大生/3)*8)+((年末折合學生數-年初函授夜大生/3)*4)/12;生均教育事業性經費支出=教育事業性經費支出/折合學生數(總);生均一般公共預算教育事業費支出=一般公共預算教育事業費支出/折合學生數(財))
1.生均教育事業性經費支出變異系數和分位數之比
圖17顯示的是各省份地方公辦普通本科高校生均教育事業性經費支出、生均一般公共預算教育事業費支出的變異系數,體現的是高校之間投入的總體差異情況。相較而言,2019年各省份內部地方公辦普通本科高校的生均一般公共預算教育事業費支出的變異程度要略大于生均教育事業性經費支出的變異程度。
從生均教育事業性經費支出的變異系數來看,廣東(1.79)、上海(1.08)、黑龍江(0.77)、山東(0.48)、河南(0.45)的變異系數較大,高校間總體差異較大;吉林(0.22)、湖南(0.21)、海南(0.14)、甘肅(0.13)、寧夏(0.07)的變異系數最小,高校間總體差異較小。
從生均一般公共預算教育事業費支出的變異系數來看,廣東(1.98)、黑龍江(1.00)、上海(0.88)、河南(0.53)、廣西(0.5)、湖北(0.5)的變異系數較大;陜西、貴州和海南(0.21)、甘肅和吉林(0.18)、寧夏(0.05)的變異系數較小。

各省份高校間的總體差異體現在不同層次高校之間,我們用不同分位數之比來反映。圖18顯示的是各省份生均教育事業性經費支出、生均一般公共預算教育事業費支出的不同分位數之比。
從生均教育事業性經費支出來看:(1)支出最高的90分位數高校與最低的10分位數高校差異較大的省份是上海(4.38)、廣東(2.91)、北京(2.43)、河南(2.4)、浙江(2.23)等;差異較小的省份是湖南(1.7)、黑龍江(1.61)、甘肅(1.48)、海南(1.39)、寧夏(1.15)等。(2)支出居中的高校與最低的10分位數高校差異較大的省份是四川(1.69)、安徽(1.48)、云南和貴州(1.47)、內蒙古(1.44)等;差異較小的省份是上海和江蘇(1.19)、海南(1.14)、重慶和寧夏(1.11)、青海(1.08)。中位數是1.32。(3)支出最高的90分位數高校和居中的高校差異較大的省份是上海(3.69)、廣東(2.14)、北京(1.91)、重慶(1.76)、河南(1.73)等;差異較小的省份是黑龍江(1.25)、甘肅和海南(1.22)、內蒙古(1.21)、寧夏(1.03)等。中位數是1.49。可以看出,北京、上海、廣東、河南等高校間差異最大,且這種差異主要是由于最高90分位數與居中的高校間的差異較大。
從生均一般公共預算教育事業費支出來看:(1)支出最高的90分位數高校與最低的10分位數高校差異較大的省份是上海(3.62)、廣東(3.2)、湖北(2.7)、重慶(2.4)、江西(2.28)等;差異較小的省份是甘肅(1.59)、海南(1.53)、吉林(1.52)、黑龍江(1.5)、寧夏(1.1)等。(2)支出居中的高校與最低的10分位數高校差異較大的省份是江西(1.44)、湖北(1.37)、山西(1.35)、山東、河北和內蒙古(1.33)、湖南(1.31)等;差異較小的省份是吉林和遼寧(1.11)、寧夏(1.08)、海南和青海(1.03)等。中位數是1.24。(3)支出最高的90分位數高校和居中的高校差異較大的省份是上海(3.09)、廣東(2.47)、重慶(2.12)、湖北(1.97)、云南(1.75)、浙江(1.72)、北京(1.69)等;差異較小的省份是甘肅(1.34)、貴州(1.32)、河北(1.31)、黑龍江(1.26)、寧夏(1.02)等。中位數是1.5。可以看出,上海、廣東、重慶高校間差異較大,且這種差異主要是由于最高90分位數與居中的高校之間的差異較大。而江西高校間差異大是由于居中的高校與最低的10分位數高校之間的差異較大,湖北是不同分位數高校之間的差異都大。


2.生均教育事業性經費支出變異系數 & 生均教育經費支出水平
基于上述分析,我們從生均教育事業性經費支出水平及其變異系數綜合來看各省份的投入情況(見圖19):
第一,生均教育事業性經費支出水平高、高校間差異大的地區,以發達地區為主,包括北京、上海、廣東、浙江等;第二,生均教育事業性經費支出水平高、高校間差異小的地區,也是以發達地區為主,包括江蘇、福建、天津等;第三,生均教育事業性經費支出水平低、高校間差異小的地區,主要是東北、中西部地區,包括吉林、遼寧、湖南、河北、甘肅、四川等;第四,生均教育事業性經費支出水平低、高校間差異大的地區,以中西部地區為主,包括河南、廣西、云南等,黑龍江、山東也屬于這一象限。
可以看出,經濟發達地區普遍生均教育事業性經費支出水平高,但分成了高校間差異大和高校間差異小兩類。其可能的原因,一是高校數量,高校數量多的省份更可能高校間差異大;二是高校類型,理工、農、醫、綜合等高校類型齊全的省份更可能高校間差異大;三是有藝術院校(音樂學院、電影學院、戲劇學院、舞蹈學院等)、體育院校、警察學院等特殊院校的地區,比如北京、上海,高校間差異大;四是部分財力較好的地區,比如深圳等,對部分高校的財政支持力度較大從而使得省內高校間差異大。更嚴謹的分析還有待未來進一步研究。
而從生均一般公共預算教育事業費支出水平及其變異系數四象限圖來看,部分省份所在的象限發生了變化,包括湖北、內蒙古、江西、山西等省份。其中,湖北、內蒙古和江西高校間差異變大,山西高校間差異變小。


3.生均教育事業性經費支出不同分位數之比
我們再從生均教育事業性經費支出不同分位數之比來看各省份投入的具體情況(見圖20):第一,頭部高校與中部高校之間、中部高校與下部高校之間差異都大的地區,以東部、中部為主,包括廣東、河南、湖北等;第二,頭部高校與中部高校之間、中部高校與下部高校之間差異都小的地區,主要是東北、西部地區,包括黑龍江、吉林、寧夏等;第三,主要是頭部高校與中部高校之間差異大的地區,包括上海、北京、重慶等;第四,主要是中部高校與下部高校之間差異大的地區,以西部、中部為主,包括安徽、貴州等。
而從生均一般公共預算教育事業費支出不同分位數之比來看,其顯示的特征與生均教育事業性經費支出不同分位數之比的情況基本類似。略有不同的是,部分省份的位置發生了變化,包括湖北、重慶、北京、四川、江西等省,其反映出的高校間差異在某些層次的高校之間更加凸顯。其中,湖北、重慶是最高的90分位數高校與中部高校之間的差異更凸顯,北京則是最高的90分位數高校與中部高校之間的差異略降;江西是中部高校與最低10分位數高校之間的差異更凸顯,四川則是中部高校與最低10分位數高校之間的差異略降。


(二)省內省屬和市屬高校間差異
省內省屬和市屬高校間的差異通過“國家財政性教育經費占比”“生均教育事業性經費支出”“生均一般公共預算教育事業費支出”等指標來考察。
1.省屬和市屬高校及學生分布
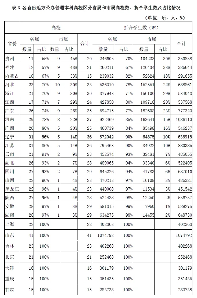
從各省份省屬和市屬高校(注:省屬和市屬高校根據地區代碼來分類)的分布情況來看(見表3),總體來說還是省屬高校占比高。在既有省屬又有市屬高校的19個省份中,遼寧作為中位數,其市屬高校占比為14%。高于這一比例的省份,比如貴州、福建、內蒙古、河北、浙江等;低于這一比例的省份,比如江蘇、云南、湖北等。從省屬和市屬高校的學生分布情況來看,基本與省屬和市屬的高校分布情況類似。上海、山東等12個省份僅有省屬高校。


2.省屬和市屬高校國家財政性教育經費占比
從各省份省屬和市屬高校國家財政性教育經費占比(注:國家財政性教育經費占比=國家財政性教育經費/總收入。本部分國家財政性教育經費通過報表分項加總得出,加總數未能涵蓋所有應屬于國家財政性教育經費的收入)來看(見圖21),廣西、內蒙古是省屬高校高于市屬高校。廣西省屬和市屬高校的國家財政性教育經費占比分別是64%和52%,內蒙古是77%和57%,省屬和市屬高校最大相差20%,相較而言,這兩個省份的省屬高校更依賴財政性教育經費。云南(62%)、山西(71%)是省屬和市屬高校基本持平。除此之外的其他15個省份普遍是市屬高校高于省屬高校。其中,湖北市屬高校和省屬高校的國家財政性教育經費占比分別為89%和61%,廣東是85%和58%,黑龍江是85%和73%,安徽是82%和57%,湖南是73%和57%,河南72%和60%,市屬和省屬高校最大相差28%。相較而言,這些省份的市屬高校更依賴國家財政性教育經費,財政投入較高,多元化籌資能力較弱。

3. 省屬和市屬高校生均教育事業性經費支出
圖22-1顯示的是各省份省屬和市屬高校生均教育事業性經費支出的情況。在19個既有省屬又有市屬高校的省份中,有10個省份是省屬高校高于市屬高校,包括山西、河北、河南、廣西、陜西、貴州、福建、江蘇等,這些省份省屬高校獲得的經費投入較多,多元化籌資能力高于市屬高校;有9個省份是市屬高校高于省屬高校,包括廣東、浙江、湖北、黑龍江等,這些省份市屬高校獲得的經費投入較多。
生均一般公共預算教育事業費支出的情況則有所不同(圖22-2)。廣西、山西、河北、內蒙古、貴州這5個省份是省屬高校高于市屬高校,其中,山西省屬和市屬高校的生均一般公共預算教育事業費支出分別是17226元和10367元,貴州是22992元和17845元,省屬和市屬最大相差6859元。河南、福建、江西這3個省的省屬市屬高校相差無幾。除此之外的其他11個省份是市屬高校高于省屬高校,廣東、浙江、湖北、黑龍江等省份仍屬這一類。其中,廣東市屬和省屬高校的生均一般公共預算教育事業費支出分別是66810元和23877元,湖北是55789元和18668元,湖南是26427元和14473元,陜西是22940元和17198元,市屬和省屬最大相差4萬多元。相較而言,這些省份市屬高校獲得的財政支持力度較大。


六、總結
(一)各省份高校間投入差異
根據以上對我國各省份地方普通本科高校的國家財政性教育經費占比(公民辦、公辦、民辦)、生均教育經費支出水平(公辦)和省內(公辦)高校間差異情況的分析,可以將我國各省份地方普通本科高校的財政投入情況大致總結為四種類型。具體為:
類型一:財政性教育經費占比低、生均教育經費支出水平高。其中,(1)高校間差異大:典型省份為浙江;(2)高校間差異小:典型省份包括江蘇、福建。類型二:財政性教育經費占比高、生均教育經費支出水平高。其中,(1)高校間差異大:典型省份包括北京、上海、廣東;(2)高校間差異小:典型省份包括天津、內蒙古。類型三:財政性教育經費占比低、生均教育經費支出水平低。其中,(1)高校間差異大:典型省份為廣西、重慶;(2)高校間差異小:典型省份為湖南、四川。類型四:財政性教育經費占比高、生均教育經費支出水平低。其中,(1)高校間差異大:典型省份為山西、湖北;(2)高校間差異小:典型省份為河北、甘肅。
需要指出的是,從高等教育投入的可持續性來看,生均教育經費支出水平低,且財政性教育經費占比高的省份,是教育投入最困難、財政投入可持續性最脆弱的省份。這些地區政府財政投入努力程度已經很高,在地方財力有限的情況下政府對高校的投入很難再有所提升,因此,這些地區地方普通本科高校教育經費投入的提升、財政投入可持續性及其進一步發展面臨很大困難。
此外,生均教育經費支出水平低,且財政性教育經費占比低的省份,其地方普通本科高校的投入問題也是需要更多關注的。這類地區以西部和中部地區為主,也包括東北部地區的個別省份。要進一步提高教育投入水平,財政投入仍須更多努力。

(二)各省份省屬和市屬高校間投入差異
從各省份省屬和市屬高校之間的差異來看,在既有省屬高校又有市屬高校的省份中,大部分省份(除了4個省份)是市屬高校的財政性教育經費占比高于省屬高校(最高相差28%),這些省份的市屬高校財政投入程度較高,而多元化籌資能力較弱。而且,超過三分之二的省份市屬高校的生均一般公共預算教育事業費支出高于省屬高校(最高相差逾4萬元),且這些省份中絕大部分省份市屬高校的生均教育經費支出也高于省屬高校。這些特征在一定程度上體現了這些省份市屬高校獲得的財政性教育經費支持的力度之大,同時也具備一定的多元化籌資能力。
部分省份市屬高校的發展,與地方政府財力的不斷提升并加大對地方高校的投入密不可分,也與本省市屬高校的數量和類型相關。除了廣東、浙江這樣體現得尤其明顯的少數省份之外,市屬高校的生均一般公共預算教育事業費支出高于省屬高校的省份還包括湖北、湖南、四川、黑龍江、遼寧、云南,以及安徽、陜西、江蘇。其中,僅廣東、浙江、遼寧、江蘇的市屬高校超過2所,其他省份均只有1到2所市屬高校。
具體來看,廣東的市屬高校絕大多數是頭部高校(在深圳、廣州等地),僅有1所下部高校,市屬高校在生均支出水平上(無論是生均教育事業性經費支出,還是生均一般公共預算教育事業性經費支出)整體上是一騎絕塵;浙江的市屬高校分布比較均勻,屬于頭部、中部、下部的都有,頭部高校拉高了生均支出的均值。這兩個省的大部分市屬高校獲得的財政性投入的支持力度大,同時多元化籌資能力也比較可觀。
湖北、四川各有2所市屬高校,湖南有1所市屬高校,均為頭部高校或排名較高的高校。這三個省的市屬高校獲得的財政性投入的支持力度大,同時也具備一定的多元化籌資能力。
遼寧的5所市屬高校比較分化,既有頭部高校也有下部高校,頭部高校拉高了生均支出的均值。云南的2所市屬高校,1所為頭部高校,1所從生均教育事業性經費支出來看為一般高校,從生均一般公共預算教育事業性經費支出來看為頭部高校。這兩個省的市屬高校呈現出兩極分化,對財政性教育經費的依賴和多元化籌資能力差別很大。黑龍江有1所市屬高校,從生均教育事業性經費支出來看為排名較高的高校,從生均一般公共預算教育事業性經費支出來看為一般高校。政府財力有限,需從其他來源獲得經費。安徽有1所市屬高校,從生均教育事業性經費支出來看為一般高校,從生均一般公共預算教育事業性經費支出來看為頭部高校,主要依賴財政性教育經費投入,多元化籌資能力弱。
陜西有1所、江蘇有5所市屬高校(以中部、下部高校為主),整體來看主要依賴財政性教育經費投入,多元化籌資能力弱。相較而言,省屬高校的經費投入狀況整體好于市屬高校。
七、本報告的不足和下一步研究計劃
(一)不足
第一,除了歷年《中國教育統計年鑒》《中國教育經費統計年鑒》之外,本研究主要使用的是“2019年中國教育經費統計數據庫”數據。考慮到高校教育經費的投入和支出會存在年度的不平衡性(受結余結轉等的影響),有些省份在具體的指標上可能會出現年度差異比較大的情況,而單年的數據則無法反映出這些情況。
第二,報告分析了各省份的省屬高校和市屬高校之間的投入差異,而市屬高校和市屬高校在校生數占比僅為13%和10%,有些省份的市屬高校和在校生數少之又少,目前的分析僅停留在國家財政性教育經費占比、生均教育經費支出等指標的比較,尚未深入分析。
(二)下一步研究計劃
隨著“雙一流”建設的推進,各地都出臺了加強地方本科高校建設的方案,支持高水平大學建設,鼓勵地方高校分層、分類發展。在地方高校的高質量發展背景下,分析其教育經費投入情況,既有的這些維度和指標還是有很多不足與局限,哪些維度、哪些指標更能反映地方高校的特色發展與貢獻,需要進一步探究。
盡管我們從經費構成以及生均支出水平方面,分析了各省份高校間差異和各省份省屬高校和市屬高校間差異,也用四象限圖對各省份的經費投入情況進行了刻畫,但是,如何進一步分析、解釋這些差異,還需要做更多具體的研究。
此外,本報告關于各省份高校間差異主要分析的是地方教育部門和其他部門辦的703所普通本科高校,不包括民辦普通本科高校,因此不能反映各省份地方普通本科高校的全貌。民辦高校在地方屬高校中占比38%,而且在各省份的分布差異很大,值得專門研究。
參考文獻:
熊思東.新中國地方高校70年:使命與作為[J].群言,2019(10):23-26.
周森.中國高等教育發展的財政策略[R].北京大學中國教育財政所科研簡報《中國教育財政》2023年第9期。
① 凡本站注明“稿件來源:教育在線”的所有文字、圖片和音視頻稿件,版權均屬本網所有,任何媒體、網站或個人未經本網協議授權不得轉載、鏈接、轉貼或以其他方式復制發表。已經本站協議授權的媒體、網站,在下載使用時必須注明“稿件來源:教育在線”,違者本站將依法追究責任。
② 本站注明稿件來源為其他媒體的文/圖等稿件均為轉載稿,本站轉載出于非商業性的教育和科研之目的,并不意味著贊同其觀點或證實其內容的真實性。如轉載稿涉及版權等問題,請作者在兩周內速來電或來函聯系。




教育在線



