南京航空航天大學國際前沿科學研究院郭萬林教授和趙曉明教授團隊繼2024年7月開發氣相氟化技術實現大面積鈣鈦礦太陽能電池的均勻穩定化后,于2025年5月30日再次在《Science》發表最新成果“Vapor-assisted surface reconstruction enables outdoor-stable perovskite solar modules”,開發了更綠色、更具經濟性的氣相輔助表面重構技術,抑制了產業級鈣鈦礦模組在戶外環境下的不可逆退化,在30 cm × 30 cm鈣鈦礦模組中首次實現與商用晶硅太陽能電池相當的戶外運行穩定性。
兩項研究形成技術閉環,系統性攻克鈣鈦礦光伏產業化進程中“實驗室-產線-戶外”全鏈條穩定性難題,相關技術已申請專利。


人類正面臨氣候變暖以及能源和水資源短缺的嚴峻挑戰。因此,探索和利用太陽光熱的新途徑,提升其利用能力,已成為確保人類生存和實現可持續發展的必經之路。郭萬林教授團隊提出了一種通過功能材料與水的相互作用,將水中蘊藏的能量直接轉換為電能的水伏效應,開創了利用太陽光熱的新方法。近期,該團隊在水伏光伏結合領域積極探索,針對鈣鈦礦電池研究向商業化應用的大面積長效穩定要求的挑戰,開發了氣相后處理法,使制備大面積高質量的鈣鈦礦電池模組成為可能,取得了里程碑式的突破。
單晶硅太陽能電池是目前主要的太陽能產品,由沙子制成晶硅需要1200攝氏度的高溫等復雜制造過程,也因此特別穩定。金屬鹵化物鈣鈦礦太陽能電池制備可在約140攝氏度以下溫度制備,但主要使用旋涂、刮涂等工藝和液相法穩定化處理。這些制備工藝制備高質量小面積的鈣鈦礦太陽能電池相對容易,小面積(<0.1 cm2)金屬鹵化物鈣鈦礦太陽能電池的光電轉換效率已經達到27%,與商用硅電池相當。然而,它們的長期運行穩定性尚未滿足光伏產品的要求,尤其是對產業級大面積的鈣鈦礦模組來說,其壽命遠低于商用晶硅太陽能電池,鈣鈦礦太陽能電池從實驗室走向市場仍任重道遠。
該團隊趙曉明研究組在團隊前序的研究中(Science 385, 433-438, 2024),開發了一種氣相氟化技術實現了大面積鈣鈦礦模組的室內長期穩定運行。該技術在產線中也能顯著提升模組壽命,但在轉化驗證時卻碰到了新的難題:針對更大尺寸的鈣鈦礦薄膜處理,比如30 cm × 30 cm產業級鈣鈦礦薄膜,需要在工業產線中引入專用氟化反應器,這將顯著增加生產成本,降低技術方案的經濟效益。這促使團隊提出新挑戰:能否開發更綠色、后處理更溫和、成本更低的大面積模組穩定化方案?
于是,帶著進一步優化技術方案的目的,團隊進行了深入的研究,并在戶外實測中觀察到了一個獨特現象:鈣鈦礦模組在晝夜循環中呈現出有趣的“可逆衰減”行為,即模組在白天工作時會出現性能衰退,但經過夜晚的“休息”又能恢復部分性能。繼續研究發現,這種特殊行為與鈣鈦礦薄膜中碘離子的可逆/不可逆遷移行為密切相關——可逆遷移發生在鈣鈦礦層內,所引起的性能衰減具有夜間自修復特性,而不可逆遷移涉及離子向電荷傳輸層或電極的逃逸,將導致器件性能的永久性衰退。
針對上述問題,團隊開發出更綠色、更具經濟性的“氣相輔助表面重構”技術,相較于前代氣相氟化技術,新方法無需專用設備,僅通過氣相沉積多齒配體即可實現鈣鈦礦表面結構的原位重構,隔離缺陷富集的表面單元,實現離子不可逆遷移的抑制。這項創新技術不僅闡明了不可逆離子遷移是導致器件性能永久衰退的本質原因,更通過抑制該過程首次在鈣鈦礦電池上實現了與硅太陽能電池比肩的戶外穩定性,同時工藝成本較前代技術大幅下降,且完全兼容現有光伏產線設備體系,為鈣鈦礦光伏技術的規模化應用掃清了關鍵障礙,標志著該領域從實驗室創新向產業化落地邁出了里程碑式的一步。

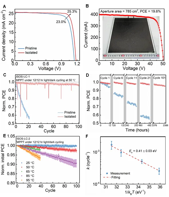
經過氣相輔助表面重構的太陽能電池實現了更高的光電轉換效率和穩定性。0.16cm2單元電池和785cm2太陽能模組的PCE分別為25.3%和19.6%。光/暗循環加速老化測試結果表明,模組的預計T80壽命(效率下降至初始效率的80%所需的時間)達到2478次循環(等效于25℃環境下循環運行超過6.7年),為報道中最具穩定性的鈣鈦礦模組。

為了進一步考察鈣鈦礦模組的戶外穩定性,在高溫高濕的夏季將鈣鈦礦模組和商用晶硅太陽能電池一起對比,發現產業級鈣鈦礦模組展示出與商用晶硅太陽能電池相當的穩定性。并且由于鈣鈦礦電池較低的溫度系數,其在高溫條件下的功率保持率甚至優于晶硅太陽能電池,證明了鈣鈦礦太陽能電池實際應用的可能性。

為了探究穩定性提升的背后機制,通過在光/暗循環條件下分析鈣鈦礦薄膜表面形貌演變和元素分布情況,發現經過氣相輔助表面重構的薄膜展現出更強的可逆恢復行為,證實氣相輔助表面重構有效阻斷了碘離子向電子傳輸層的不可逆遷移路徑,維持了界面結構的均勻性與致密性,從而顯著提升了材料穩定性。

① 凡本站注明“稿件來源:中國教育在線”的所有文字、圖片和音視頻稿件,版權均屬本網所有,任何媒體、網站或個人未經本網協議授權不得轉載、鏈接、轉貼或以其他方式復制發表。已經本站協議授權的媒體、網站,在下載使用時必須注明“稿件來源:中國教育在線”,違者本站將依法追究責任。
② 本站注明稿件來源為其他媒體的文/圖等稿件均為轉載稿,本站轉載出于非商業性的教育和科研之目的,并不意味著贊同其觀點或證實其內容的真實性。如轉載稿涉及版權等問題,請作者在兩周內速來電或來函聯系。




中國教育在線

